Glücksforschung
und Positive Psychologie
Wie man wirklich glücklicher wird
und dauerhaft bleibt
Auszug aus der 16. aktualisierten Neuauflage unseres Buches, Januar 2019
Happy Aging: So geht’s
Der lebenslange Verlauf unseres
Glücks und Wohlbefindens
Die meisten Menschen wissen zu wenig
über oder haben falsche Vorstellungen vom Alter. Sie glauben zum Beispiel, dass ihr Glück und
Wohlbefinden abnimmt, wenn sie älter werden. Fragt man sie nach dem “Warum?”,
dann begründen sie ihre Meinung mit den altbekannten Unbilden des Alters: Der
nachlassenden allgemeinen Gesundheit und Kraft, dem Tod des Partners oder von
Freunden, Einsamkeit oder der Vorstellung, dass ältere Menschen (65 Jahre plus)
hilfsbedürftig und abhängig von Anderen sein werden. Außerdem glauben viele auch,
dass es bemerkenswert unglückliche Lebensabschnitte im Leben gibt,
beispielsweise die Pubertät, die so genannte “Midlife Crisis”
oder insbesondere das Alter. Diese weit verbreiteten Meinungen sind schmerzhaft falsch. Warum?
Erstens gibt es nicht den klitzekleinsten Beweis für
persönliche Umbrüche in der Mitte des Lebens, der so genannten “Midlife
Crisis”, in den 40er Jahren. Die “Krise in der Mitte des
Lebens” ist eine Erfindung, ein genialer Buchtitel und das
Hirngespinst einer amerikanischen Journalistin, deren Namen ich – Gott sei
dank! – vergessen habe. Die “Krise in der Mitte des Lebens” findet
nicht statt. Es gibt sie nicht. Mag sein, dass sie bei den Orks auf dem Zork
festgestellt wurde. Bei den Menschen konnte sie auf der Erde bis heute nicht festgestellt werden (McCrae und Costa, 1990; Wethington, Cooper und Holmes, 1997). Jeder Mensch kann zwar im
Laufe seines Lebens
Krisenzeiten durchmachen, aber nicht in einem vorhersagbaren Zeitabschnitt. Manche haben eine Krise in ihrer Pubertät, manche in ihren 20er, 30er,
40er, 50er, 60er, 70er, 80er, 90er oder 100er Jahren. Manche hatten nie
eine Krise, und bei manchen Leuten ist ihr ganzes Leben lang eine Krise.
Das so genannte
“Leere-Nest-Syndrom” – ein Gefühl der Sinnlosigkeit und
verlorenen Bedeutung, nachdem die Kinder das Haus für immer verlassen haben – entpuppte sich
ebenfalls als selten. Im Rahmen von drei Langzeitstudien wurde festgestellt,
dass sich die Mütter erleichterter und wohler fühlten, nachdem ihre Kinder das Haus
endgültig verlassen hatten. Für die meisten Paare ist das leere Nest ein glücklicheres
Nest – ein Ort, zu dem das Glück nach all den stressigen Jahren der
Kinderaufzucht wieder zurückgekehrt ist. “Midlife Krise”,
“Wechseljahre des Mannes”, “Leeres-Nest-Syndrom”, sind
nichts weiter als leere Worthülsen. Ein Schmarrn. MUNDUS VULT DECIPI,
ERGO DECIPIATUR (lat.: “Die Welt will betrogen sein, also werde
sie betrogen.”)
Zweitens haben die Altersforscher John Rowe und
Robert Kahn im Rahmen eines zehnjährigen Langzeitprojekts herausgefunden, wie
man munter in die Jahre kommen kann ohne zu vergreisen. Mit ihrem Team befragten
und untersuchten sie Tausende von Männern und Frauen jenseits der siebzig, die
in ihrer häuslichen Umgebung lebten. Ihre Bilanz fällt verblüffend ermutigend
aus: “Die Begegnungen mit den älteren Leuten lehrten uns, dass die meisten viel unabhängiger, leistungsfähiger und auch
gesünder sind als weithin angenommen.” Im Brennpunkt der Altersforschung
hätten bisher viel zu sehr jene Menschen gestanden, die auf Pflege in
Altersheimen und Krankenhäusern angewiesen waren – insgesamt nur etwa fünf
Prozent aller älteren Menschen.
“Schwächlich, kränklich, wackelig,
gehandikapt, macht- und
geschlechtslos, schlechtgelaunt, passiv, unsicher und einsam”, das
weit verbreitete Bild vom älteren Menschen ist geprägt von
Jahrhunderte alten, abgedroschenen Vorstellungen und Vorurteilen,
kritisieren Robert Kahn
und sein Kollege. Um die eigenen Chancen für ein erfülltes Alter wahrzunehmen
empfehlen sie, sich erst einmal von diesen weit verbreiteten, überkommenen
Vorurteilen und falschen Vorstellungen zu befreien, einschließlich der
Vorstellung, dass Altsein mit Unglücklichsein einhergehe.
Zwar hatte jenseits der Fünfundsiebzig jeder
dritte zu hohen Blutdruck, Herzbeschwerden oder Hörschäden und elf Prozent
leiden an altersbedingtem Blutzucker, doch diese Gesundheitsbeschwerden fallen im Alltag kaum ins
Gewicht, sondern werden routinemäßig, nebenbei und en passant erledigt. Wir altern weit öfter
quicklebendig, unternehmungslustig und voller
Lebensfreude, als krank und hinfällig. Die meisten älteren Menschen wollen ihr
Dasein nutzen und das Mark des Lebens noch einmal auskosten. Fast 90 Prozent der 65- bis
74-Jährigen berichteten über keinerlei Gesundheitsbeschwerden, und von den
über 85-Jährigen fanden sich noch rund 40 Prozent “voll
funktionstüchtig”.
Nur ein abgedroschenes Klischee ist auch der geistige Verfall
im Alter. Jeder vergessene Name oder verlegte Schlüssel beschwöre zwar das
Schreckgespenst der Alzheimer-Krankheit herauf, doch Opfer dieser Krankheit
würden “weniger als 10 Prozent aller Menschen zwischen 65 und 100
Jahren.” Obwohl sich unser Kurzzeitgedächtnis, das nur
vorübergehend Informationen speichert, mit den Jahren verschlechtert, kann
unser Erinnerungsvermögen mit Gedächtnistraining – ob gezielt oder spielerisch
– aufgebessert werden. Zwar geht das Denken – wie alles – etwas langsamer vor
sich, mit etwas mehr Zeit ausgestattet könnten aber auch ältere Menschen
beachtliche Leistungen schaffen. Auch das Alter hat seine guten Seiten.
Die wichtigste Botschaft von John Rowe ist aber, dass wir die Art und Weise wie wir altern gewaltig beeinflussen können. Weit mehr als bisher angenommen liegt der Erfolg des
glücklichen Alters in unseren eigenen Händen.” Der Einfluss der Gene
wurde weit überschätzt. Nachdem beide Forscher die rund 25.000
Zwillingspaare aus dem über 70 Jahre lang geführten schwedischen
Zwillingsregister (SATSA) in ihre Studie einbezogen hatten, entmachteten sie die
Theorie von der Herrschaft der Gene. Nur ein Drittel aller Altersprobleme sind
genetisch veranlagt.
Am Beispiel der Blutfett-Werte zeigt sich besonders deutlich,
dass der Lebensstil ausschlaggebend ist: Im Alter von 70 Jahren war bei
den Zwillingspaaren mit hohen Blutfett-Werten die Macht der Gene vollständig
verschwunden. Abhängig war ihr Blutfett-Spiegel vielmehr völlig von ihrem
Lebensstil – von ihrer Ernährung und Bewegung. Ihre Studie
beweist, “dass wir, zu einem großen Teil, für unser eigenes Altwerden
verantwortlich sind.” Weil die Natur “erstaunlich nachsichtig
ist”, sei es “nie zu spät” unsere Lebensgewohnheiten zu ändern.
Selbst der hartnäckigste Pantoffelheld könne noch im hohen Alter messbar von
mehr körperlichen Bewegungen profitieren. Für
den Verzicht aufs Rauchen und die Mühen regelmäßiger Bewegung gebe es eine
hohe Belohnung – “mit 90 mit dem Fahrrad statt im Rollstuhl zu fahren.”
Sport, aktive Teilnahme am Leben, Freundschaften und
geselliges Beisammensein sind, neben gesunder Ernährung, die besten Jungbrunnen.
Als Beweis dafür zitieren die Altersforscher den 91-jährigen Edward, der
zeitlebens nie Sport getrieben hat, bis er mit 86 in eine Fitnessgruppe eintrat:
“Nachdem ich damit angefangen hatte, fühlte ich mich stärker und viel
aktiver. Das Gewichtheben verbesserte mein Laufen, und ich schlafe besser und habe
mehr Freude am Essen. Das Kraft-Training hat mein Leben verändert.”
Drittens und vor allem liefert den stichhaltigsten Beweis
dafür, dass ältere Menschen glücklicher sind als Menschen in mittleren oder
jüngeren Jahren, die offizielle amerikanische Statistik. Das US-National Opinion
Research Center in Ann Arbor, Michigan, führt seit Jahrzehnten alljährlich
landesweit eine repräsentative Umfrage durch. Seine Standardfrage
zum Glück und Wohlbefinden lautet dabei immer:
“Im Großen und Ganzen, was würden Sie
sagen: Wie fühlen Sie sich zur Zeit? Würden Sie sagen, Sie sind zur Zeit:
a) sehr
glücklich,
b) ziemlich glücklich oder
c) nicht allzu glücklich?”
Bis zur
Drucklegung unseres Buches Glücksforschung und
Glückswissenschaft Band I: Wie man wirklich glücklicher wird wurden die Umfrageergebnisse von 32.029
Befragten aus den 23 Jahren von 1972 bis 1994 veröffentlicht. Die folgende Grafik
fasst seine Umfrage-Ergebnisse auf einen Blick zusammen:

Mit zunehmendem Alter gibt es immer mehr sehr glückliche Amerikaner
Das überaus
Erfreuliche an dieser Grafik ist, dass der Anteil der Personen, die angaben,
dass sie zur Zeit der Umfrage “sehr glücklich” waren, gleichmäßig über alle Altersgruppen hinweg
zunimmt, bis auf die älteste Altersgruppe, bei der er wieder abnimmt.
Folgerichtig nahm der Anteil der Personen, die angaben, dass sie “ziemlich
glücklich” waren, gleichmäßig über alle Altersgruppen hinweg ab, bis auf die
älteste Altersgruppe, bei der er wieder zunahm. Diese Abnahme der “ziemlich
Glücklichen” hängt direkt mit der Zunahme der “sehr Glücklichen” zusammen, weil
ein Blick auf die dritte Gruppe der “nicht allzu Glücklichen” über die Jahre
hinweg keinen klaren Trend erkennen lässt und außerdem kaum prozentuale
Veränderungen aufweist.
Wenden wir uns jetzt den Glücksmodulen im Einzelnen zu und betrachten,
wie sie sich im Laufe des Lebens verändern. Wir beginnen mit der Zufriedenheit
der Deutschen mit ihrem Leben im Ganzen, erfasst mit der Standardskala des DIW
Berlin der Lebenszufriedenheit, die von 0 bis 10 Punkten reicht. 25-jährige SOEP-Befragungen
von 1990 bis 2014 – mit repräsentativ für die Gesamtbevölkerung ausgewählten
Umfrageteilnehmern – beweisen, dass ältere Deutsche zufriedener mit ihrem Leben
sind, als in ihren mittleren Jahren. Ihre durchschnittliche Zufriedenheit
mit ihrem Leben liegt über alle Altersstufen hinweg bei 6,9 Punkten
(Standardabweichung = +/- 1,7 Punkte). Die folgende Grafik zeigt den lebenslangen Verlauf der Zufriedenheit deutscher Männer und Frauen, im
Vergleich zu sich selbst, mit ihrem Leben (Headey, 2016):

Lebenslanger Verlauf der Zufriedenheit deutscher Männer und Frauen mit ihrem Leben
Nachdem wir die Zufriedenheit
festgestellt haben, nehmen wir jetzt die angenehmen und unangenehmen Gefühlen
schärfer ins Visier. Daniel Mroczek und sein Team von der Fordham
Universität, New York, untersuchten 1998 in einer landesweit durchgeführten
Umfrage – mit 2.727 repräsentativ ausgewählten Umfrageteilnehmern aus den USA
– den Zusammenhang zwischen unterschiedlichem Alter und der Häufigkeit der
erlebten, angenehmen und unangenehmen Gefühle.
Die einzige Frage im Fragebogen von Daniel Mroczek war:
“Wie viel Zeit haben Sie in den letzten 30 Tagen damit verbracht, sich …
zu fühlen?” Die Liste der möglichen Antwortmöglichkeiten bestand aus
jeweils sechs angenehmen oder unangenehmen Gefühlen. Die sechs unangenehmen
Gefühle waren: “So traurig, dass mich nichts aufmuntern konnte.”,
“Nervös”, Unruhig und zappelig”, “Hoffnungslos”,
“Alles war eine Anstrengung.” und “Wertlos”. Die sechs
angenehmen Gefühle waren: “Fröhlich”, “Gutgelaunt”,
“Äußerst glücklich”, “Ruhig, gelassen und friedlich”,
“Zufrieden” und “Voller Leben”. Die Umfrageteilnehmer
konnten jede Frage auf einer Stufenleiter, die von 1 Punkt = “Überhaupt
nicht” bis 5 Punkte = “Die ganze Zeit” reichte, ankreuzen. Jeder
Teilnehmer konnte also jeweils zwischen sechs Punkten (falls er alle Fragen mit
1 angekreuzt hatte) und dreißig Punkten (falls er alle Fragen mit 5 angekreuzt
hatte) erreichen. Zusätzlich wurden die Umfrageteilnehmer gebeten, Angaben
über ihr Alter, Geschlecht, Familienstand, körperlichen Gesundheitszustand und
ihre Schulbildung zu machen und einen zweiten Fragebogen auszufüllen, der
Fragen über ihre Extravertiertheit und Neurotizismus enthielt.
Die
anschließend durchgeführte, schrittweise Regressionsanalyse – bei der die
Einflüsse des Geschlechts, Familienstands, Schulbildung, der Extravertiertheit und des Neurotizismus kontrolliert gehalten und gleich Null
gesetzt wurden – brachte folgenden überraschenden Zusammenhang zwischen dem
Alter und der Häufigkeit der erlebten, angenehmen und unangenehmen Gefühle ans
Licht:

Je älter die Menschen
sind, desto glücklicher sind sie!
Wie ein Blick auf die Grafik zeigt, steigt die Häufigkeit der angenehmen
Gefühle mit zunehmendem Alter etwa ab dem 45. Lebensjahr mit einer
zunehmenden Wachstumsrate kurvenförmig an. Die ältesten Befragten hatten den
höchsten Stand an angenehmen Gefühlen, höher als alle anderen Altersgruppen.
Im Gegensatz dazu nahm die Anzahl der unangenehmen Gefühle während des Lebens
(glücklicherweise!) geradlinig ab. Die jüngsten Befragten hatten die meisten und die ältesten die wenigsten
unangenehmen Gefühle.
Nachdem Daniel Mroczek und sein Team die Rohdaten nach
Geschlecht in Frauen und Männer aufgeteilt hatten, ergaben sich drei
unterschiedliche Muster, die zentral mit dem Alter zusammenhängen: Erstens wurde
die erfreuliche Abnahme der unangenehmen Gefühle über alle Altersstufen hinweg
durch die Ehe vermittelt und zwar nur bei den verheirateten Männern. Die Ehe,
und alles, was mit ihr zusammenhängt, scheint für Männer der beste
Dämpfer für ihre unangenehmen
Gefühle zu sein.
Die 25-jährigen verheirateten oder unverheirateten Männer
hatten ungefähr den gleichen Stand (10 Punkte) an unangenehmen Gefühlen, und
dieser Stand blieb nut bei den unverheirateten Männern über alle Altersstufen
hinweg bis zum 75. Lebensjahr ziemlich gleich. Bei den verheirateten Männern
jedoch sank der Stand der unangenehmen Gefühle über alle Altersstufen
hinweg beachtlich von 10 auf etwa 7,4 Punkte bis zum 75. Lebensjahr.
Was geht
hier genauer vor, wie kommt das? Die jungen, unverheirateten Männer hatten in
etwa den gleichen Stand an unangenehmen Gefühlen wie die unverheirateten
Männer im mittleren oder älteren Alter. Die Gruppe der unverheirateten Männer
bestand in dieser Umfrage aus nie verheirateten, geschiedenen, verwitweten und
getrennt lebenden Männern. Anscheinend haben die jüngeren, unverheirateten
Männer mehr unangenehme Gefühle, weil sie noch nicht verheiratet sind und die
älteren Männer, weil sie geschieden, getrennt lebend oder verwitwet sind. Was
immer der wirkliche Grund dafür auch sein mag, dass unverheiratete Männer mehr unangenehme Gefühle haben,
alle haben einen relativ höheren Stand an unangenehmen Gefühlen als
verheiratete Männer.
Bei den verheirateten Männern war der Trend genau umgekehrt: Je älter
sie waren, desto weniger unangenehme Gefühle hatten sie. Was die Frauen
in allen Altersstufen betrifft, so stand ihr Alter und die Häufigkeit ihrer
unangenehmen Gefühle in keinerlei Beziehung zueinander. Vorläufig
zusammenfassend kam Daniel Mroczek zum Schluss, dass bei den verheirateten Männern über alle
Altersklassen hinweg ihre unangenehmen Gefühle geradlinig abnahmen.
Zweitens gilt der kurvenförmige Anstieg der angenehmen
Gefühle nur für Frauen, während die Kurve der angenehmen Gefühle der
Männer nur geradlinig verlief. Frauen erleben also mit zunehmendem Alter mehr
angenehme Gefühle als Männer, und das macht sie glücklicher.
Drittens fand Daniel Mroczek und sein Team heraus, dass
die Stärke des Zusammenhangs zwischen Alter und angenehmen Gefühlen vom Grad
der Extravertiertheit – (extravertiert Ö
ambivertiert (oder so zwischen drin) Ö introvertiert) – vermittelt
wird, aber dies gilt wiederum nur für Männer, nicht für Frauen. Zwar hatten
über alle Altersstufen hinweg die extravertierten Männer, wie wir schon
wissen, durchweg den höchsten Stand an angenehmen Gefühlen und die
introvertierten Männer den niedrigsten, aber die relative Zunahme und Steigerungsrate der angenehmen Gefühle war bei den extravertierten Männern am geringsten, bei den ambivertierten steiler
und bei den introvertierten über alle Altersstufen hinweg am steilsten.
Während die älteren extravertierten Männer kaum mehr angenehme Gefühle
erlebten als die jüngeren extravertierten, erlebten die älteren introvertierten Männer
wesentlich mehr angenehme Gefühle als die jüngeren introvertierten.
Viertens gelten ähnliche Ergebnisse auch für Deutschland.
Von den 82 Millionen Deutschen (1999) sind 18 Millionen über sechzig Jahre alt.
Einer wissenschaftlichen Studie zufolge, deren Ergebnisse auf dem Europäischen
Gerontologie-Kongress in Berlin im Juli 1999 veröffentlicht wurden, sind
ältere Menschen mehrheitlich mit ihren Leben zufrieden. Rund zwei Drittel von
ihnen sehen ihre Vergangenheit positiv und blicken optimistisch in die Zukunft.
Zu diesem Ergebnis kam die Langzeitstudie, die über einen Zeitraum von zehn
Jahren durchgeführt wurde und in der mehr als 500 Menschen zwischen 70 und 100
Jahren befragt wurden. Fast alle Teilnehmer gaben an, noch Ziele im Leben zu
haben, und die Mehrzahl glaubte, dass sie ihre Geschicke selbst in der Hand hat. Auch
den deutschen Ergebnissen zufolge sind gesundheitliche Probleme im Alter nicht
der Hauptgrund für ihre gesellschaftliche Abkapselung. Menschen, die in jungen
Jahren eher passiv waren, neigten im Alter ebenfalls zu einem eher
zurückgezogenen Leben.
Wer jung ist soll nicht zögern sich des Lebens zu erfreuen,
und wer alt ist soll nicht müde werden sich an ihm erfreuen. Für keinen ist es
zu früh und für keinen zu spät sich um seine mentale (das heißt auf Deutsch:
gefühlsmäßig à gedankliche) Gesundheit zu
kümmern. Für die Jungen nicht, damit sie gleichzeitig jung und alt
sind und keine Angst vor der Zukunft haben, und für die älteren Menschen
nicht, damit sie im Alter noch jung bleiben.
Während wir älter werden, werden unsere Gefühle immer
wichtiger für uns, und wir lernen im Laufe des Lebens immer besser, sie
geschickter zu organisieren und erfolgreicher mit ihnen umgehen zu können. Jüngere Menschen und Menschen
in den mittleren Jahren betrachten
ihre Zukunft noch als weitgehend offen und sind weltlichen Dingen mehr
zugewandt, während ältere Menschen ihre Zukunft schon als begrenzter
betrachten. Dieser Blickwinkel veranlasst sie, noch einmal aufs Gaspedal des
Lebens zu drücken, Gas zu geben und einen höheren Gang einzulegen, um ihre
angenehmen Gefühle zu maximieren und ihre unangenehmen zu minimieren.
Zusätzlich wissen sie aufgrund ihrer größeren Lebenserfahrung besser,
was ihre angenehmen Gefühle wirklich maximiert und ihre unangenehmen Gefühle wirklich
minimiert und picken sich aus dem Leben nur das heraus, was sie nur noch
wirklich interessiert oder auf gut Deutsch: glücklich macht. Ihr besseres Gefühlsmanagements
sagt ihren zusätzlichen Gewinn in der aufwärts Steuerung ihrer Gefühle und folglich
ihr größeres Wohlbefinden voraus. Und alles zusammen genommen führt zu ihrem größeren
Glück und Wohlbefinden im späteren Leben.
Die
Lebenszufriedenheit der Deutschen geht am Ende ihres Lebens zur Neige und ihre Abnahme verläuft 4 Jahre vor ihrem Tod dreifach steiler
Grafik 1:

Gerstorf, Denis, Ram, Nilam, Estabrook, Ryne, Schupp, Jürgen, Wagner, Gerd G. und Lindenberger,
Ulman: Life Satisfaction Shows Terminal Decline in Old Age: Longitudinal Evidence from the German Socioeconomic Panel Study,
Develomental Psycholgy, Heft Juli. 2008, S. 1148–1159.
Longitudinal
data spanning 22 years, obtained from 1.637 deceased 70- bis 100-Jährigen of
the SOEP were used to examine if and how life satisfaction exhibits terminal
decline at the end of life. Changes in life satisfaction were more strongly
associated with distance to death than chronological age. Multi-phase growth
models were used to identify im Durchschnitt a transition point 4,12 Jahre
(individuelle Unterschiede 3 bis 5 Jahre) vor dem Tod, wherein the prototypical rate of decline in life satisfaction
tripled from –0.64 (20 Jahre) to –1.94 (1 Jahr) T-score units per year (Siehe
Grafik 1.)
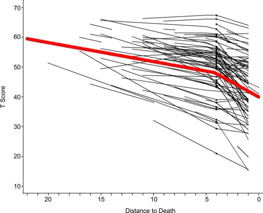
Grafik 2:

Estimates over distance-to-death
in life satisfaction with interindividual differences in the change point, as
identified in a subset of zufällig ausgewählten 400 of SOEP participants who provided a large number of
~12+ observations. Die 400 zufällig Ausgewählten greatly differ in the onset
of terminal dicline.Prototypical
(thick line) and intraindividual changes in life satisfaction
for a random selection of 100 deceased participants (thin lines) are shown.
Large interindividual differences in the location of the change point to more
pronounced late-life decline in life satisfaction can be seen. While on
average, this subset of individuals transitioned to the terminal phase at
4 years before death, some individuals entered earlier (e.g., 6 years
prior to death), some later (e.g., 1 year prior), and some hardly or not at
all (Siehe Grafik 2.)
Further individual-level analyses suggest that individuals dying at older
ages spend more years in the terminal periods of life satisfaction decline,
than individuals dying at earlier ages. Overall, the evidence suggests that
late-life changes in aspects of well-being are driven by mortality-related
mechanisms and characterized by terminal decline.onset of terminal decline.
March 8, 2016
An Active Social Life Associated With Well-Being in Life
Social participation and social goals — even in the face of health
decrements — may ease well-being decline late in life, study says.
Staying active socially despite health-related challenges
appears to help lessen the decline in well-being people often experience
late in life.
“Our results indicate that living a socially
active life and prioritizing social goals are associated with higher
late-life satisfaction and less severe declines toward the end of life,”
said study lead author Denis Gerstorf of Humboldt University,Berlin. The
research was published in the journal Psychology and Aging.
Gerstorf and his colleagues analyzed data from over 2,900 now deceased
participants in the nationwide German Socio-Economic Panel (SOEP) Study
(48 percent women, average age at death 74). The German SOEP is a
nationally representative annual longitudinal survey of approximately
30,000 adults in former West Germany from 1984 to 2013 and
former East Germany from 1990 to 2013.
The researchers compared well-being (as measured by answers on a scale
of 0 to 10 to the question, “How satisfied are you
with your life concurrently, all things considered?”), participation in
social activities, social goals (how important they found participating
in social or political activities) and family goals (how much they valued
their marriage or relationships with their children) during the last few
years in life.
The research team found that being socially active and having social
goals were associated with higher well-being late in life, but family
goals were not. This association was independent of other relevant
variables including age at death, gender, education as well as key health
indicators (e.g., disability, hospital stays).
One particularly intriguing observation was that while low social
participation and lack of social goals independently were associated with
lower levels of well-being, when combined they each magnified the other’s
effect.
Valuing and pursuing social goals may contribute to well-being by
boosting feelings of competence, concern for the next generation and
belonging, said Gerstorf. Similarly, investing one’s remaining physical
and psychological resources into socially oriented activities can be
advantageous at a number of different levels (e.g., boosting well-being
directly by carrying out joyful activities or indirectly by facilitating
self-esteem and a sense of control or promoting physical and cognitive
functioning).
“A socially engaged lifestyle often involves cognitive stimulation and
physical activity, which in turn may protect against the neurological and
physical factors underlying cognitive decline,” said Gert Wagner, one of the co-authors. “Our
results indicate that social orientation is related to maintaining
well-being for as long as possible into the very last years of life.”
As to why family-oriented goals did not appear to lessen the decline
in well-being, Gerstorf said it may have to do with the complexity of
family relationships later in life, but more research would be required
to determine it. “Family life is often a mixed bag and represents not only a source of
joy, but also of worry and tensions, stress and sorrow. For example,
valuing one’s partner often makes people vulnerable to declines in
well-being when the partner suffers from cognitive or physical
limitations,” said Gerstorf. “Similarly, relationships with adult
children can be ambivalent, especially when children differ in values and
have not attained (in the eyes of their parents) educational and
interpersonal success.”
Article: “Terminal decline in well-being: The role of social orientation.
Gerstorf, Denis; Hoppmann, Christiane A.; Löckenhoff, Corinna E.; Infurna, Frank J.; Schupp, Jürgen; Wagner, Gert G.; Ram, Nilam,
Psychology and Aging, Vol 31(2), Mar 2016, 149-165.
Abstract
Well-being development at the end of life is
often characterized by steep deteriorations, but individual differences
in these terminal declines are substantial and not yet well understood.
This study moved beyond typical consideration of health predictors and
explored the role of social orientation and engagement. To do so, we
used social variables at the behavioral level (self-ratings of social
participation) and the motivational level (valuing social and family
goals), assessed 2 to 4 years before death. We applied single- and
multiphase growth models to up to 27-year annual longitudinal data from
2,910 now deceased participants of the nation-wide German
Socio-Economic Panel Study age
at death = 74 years; SD = 14; 48% women). Results revealed that
leading a socially active life and prioritizing social goals in late life
were independently associated with higher late-life well-being, less
pronounced late-life decline, and a later onset of terminal decline.
Significant interaction effects suggested that the combination of
(reduced) social participation and (lowered) social goals magnifies the
effects of each other. Findings also indicated that less decline in
social participation was associated with less severe rates and a later
onset of well-being decline. We found little evidence that valuing family
goals is associated with late-life trajectories of well-being.
Associations were independent of key correlates of well-being and
mortality, including age at death, gender, education, disability,
hospital stays, and goals in other life domains.
How far reaches the power of
personality? Personality predictors of terminal decline in well-being
Heft Aug. 2018, Journal of Personality and Social Psychology
Personality is a powerful predictor
of central life outcomes, including subjective
well-being. Yet, we still know little about how
personality manifests in the very last years of life when
well-being typically falls rapidly. Here, we investigate
whether the Big Five personality traits buffer (or
magnify) terminal decline in well-being beyond and in
interaction with functioning in key physical and social
domains. We applied growth models to up to 10-year
longitudinal data from 629 now deceased participants in
the nation-wide German Socio-Economic Panel Study (SOEP;
age at death: M = 76 years; SD = 11). Lower neuroticism
and higher conscientiousness were each uniquely
associated with higher late-life well-being one year
prior to death. At the same time, participants low in
neuroticism experienced steeper terminal well-being
declines. Similarly, individuals high in agreeableness
and women high in extraversion reported higher well-being
far away from death, but experienced more severe terminal
decline, such that personality-related differences in
well-being were not discernible anymore at one year prior
to death. Interaction effects further revealed that
individuals suffering from disability benefit less from
higher levels of conscientiousness, whereas openness to
experience appeared particularly beneficial for the less
educated. We conclude that in the context of often severe
late-life health challenges that accompany the last years
of life, adaptive personality-related differences
continue to be evident and sizable for some traits, but
appear to diminish and even reverse in direction for
other traits. We discuss possible underlying mechanisms
and practical implications.
Ich will alles darüber wissen …
Copyright © 1999 – 2019 by Dipl.-Kfm. Dipl.-Hdl. Bernd Hornung. Alle Rechte vorbehalten.

IFG München
Institut für Glücksforschung
Peter-Putz-Str. 12
81241 München
Tel: 089 88 96 91 97
www.gluecksforschung.de
E-Mail an uns: [email protected]